物理科学与工程学院程鑫彬/施宇智团队在可逆光力矩研究上取得进展,相关成果发表于《物理评论快报》
来源:物理科学与工程学院 时间:2022-07-29 浏览:
北京时间7月29日,同济大学物理科学与工程学院程鑫彬教授和施宇智特聘研究员团队在物理学权威期刊《物理评论快报》(Physical Review Letters)在线发表题为《椭圆偏振光作用下介电质纳米颗粒中的可逆光力矩》(Inverse Optical Torques on Dielectric Nanoparticles in Elliptically Polarized Light Waves)的论文。该论文首次研究了椭圆偏振光作用下非金属纳米颗粒中的可逆光力矩,揭示了不同偏振态在一定光学入射角的情况下对光力矩的作用机制。

光镊技术利用光力对微小颗粒进行操控,而光的角动量产生的光力矩在其中同样起着至关重要的作用,因而受到了学者们的广泛关注。光力矩在包括量子光机械系统、摩擦学、生物分子的扭转测量、微小搅拌马达的构建在内的物理、生物医学、化学等领域应用广泛。通常情况下,颗粒在圆偏振光中由于自旋角动量的作用会产生方向与自旋角动量一致的光力矩。而“负光力矩”的方向与自旋角动量相反,近期被发现于金属手性颗粒、相位迟滞盘、颗粒簇等系统中。然而,受偶极子模型影响,尚未曾在单个非金属颗粒中发现“负光力矩”。该研究团队利用斜入射的椭圆偏振光,首次在介电质三棱柱中发现了“负光力矩”,揭示了不同偏振态在三棱柱结构中对力矩的作用机制,如图1所示。

图1:斜入射的椭圆偏振光在三棱柱中激发可逆光力矩。结构转角、光的偏振都可以对光力矩产生强烈的作用。
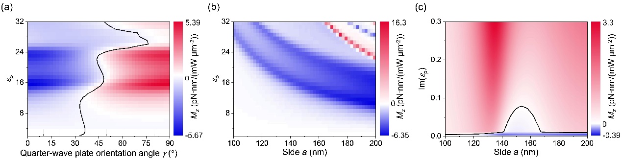
同时,该团队发现该“负光力矩”与光的椭偏度、颗粒的大小和折射率关系密切,如图2所示。尤其,当四分之一波片的偏转角越小,即光更趋向于p偏振,或颗粒的折射率越高,都越容易激发“负光力矩”。相反,颗粒的吸收则会产生“正光力矩”,进而削弱“负光力矩”的作用。而颗粒的尺寸,包括三角的边长和厚度都会对光力矩产生很大的影响,如图3所示。

图2:光的椭偏度、颗粒的尺寸和折射率的变化都可以引起“负光力矩”。

图3:颗粒的尺寸对光力矩的影响。
该团队还发现,通过简单地调节光的入射角,“正光力矩”和“负光力矩”可以实现轻松切换。这种“负光力矩”将会在传统的颗粒旋转实验中导致颗粒静止,从而影响相关实验的进行。该研究首次揭示了不同倾斜入射的椭圆偏振光对介电质颗粒中的光力矩的影响,在光和物质的相互作用、物理和生物医学等领域有着重要的意义。
同济大学物理科学与工程学院施宇智特聘研究员为论文第一作者兼共同通讯作者,团队负责人之一程鑫彬教授参与了研究,新加坡南洋理工大学刘爱群院士和新加坡国立大学仇成伟教授是论文共同通讯作者。该研究得到了同济大学科研启动经费支持。
论文链接:https://link.aps.org/doi/10.1103/PhysRevLett.129.053902